萨克斯金曲《星》谷村新司 作曲简谱五线谱附歌词是乐器资源网于2017年10月30日 11:28:00整理更新,内容收录在萨克斯乐谱栏目;乐器资源网免费分享专业、准确、规范、高清的萨克斯乐谱简谱五线谱歌词等电子版资料,欢迎在线免费下载;乐器资源网无需注册会员,即可直接免费下载各类乐器学习相关资源。
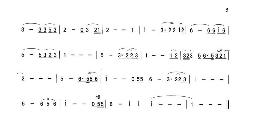
萨克斯金曲《星》谷村新司 作曲
萨克斯金曲《星》谷村新司 作曲简谱五线谱附歌词是乐器资源网于2017年10月30日 11:28:00整理更新,内容收录在萨克斯乐谱栏目;乐器资源网免费分享专业、准确、规范、高清的萨克斯乐谱简谱五线谱歌词等电子版资料,欢迎在线免费下载;乐器资源网无需注册会员,即可直接免费下载各类乐器学习相关资源。
萨克斯金曲《星》谷村新司 作曲